Фокусирование зрительной трубы
Фокусирование зрительной трубы позволяет отчетливо видеть изображение наблюдаемых предметов, для чего в современных приборах используют фокусирующую линзу 3 (см. рис. 1.67, а), расположенную между объективом 1 и окуляром 6 (зрительные трубы с внутренней фокусировкой имеют постоянную длину). Зрительные трубы с внешней фокусировкой, когда резкость изображения достигается перемещением окулярной части, т. е. изменением длины трубы, как правило, в современных геодезических приборах не используют.
В окулярной части трубы располагают пластину, на которой изображена сетка нитей (см. рис. 1.67, б), при фокусировании плоскость изображения предметов местности должна совпадать с плоскостью сетки нитей, только в этом случае резко видны и сетка нитей, и изображения предметов местности, и имеется возможность уверенно навести перекрестие сетки нитей на визирную цель.
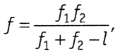
Ход лучей в зрительной трубе с внутренней фокусировкой показан на риунке 1.67, в. Совместное действие объектива и фокусирующей линзы соответствует действию одной эквивалентной линзы с фокусным расстоянием

где ƒ1, ƒ2 - фокусные расстояния объектива и фокусирующей линзы, l — расстояние между ними.

