Схема охлаждения компрессора
При сжатии воздуха и газов неизбежно выделяется большое количество тепла. Если это тепло будет уноситься с сжимаемым газом, то будет происходить адиабатический процесс сжатия. Ранее показывалось, что для такого процесса необходимо затратить работу большую, чем при изотермическом или политропическом сжатии. Поэтому для того, чтобы сделать компрессор более экономичным, предусматривают принудительное охлаждение. Чаще оно бывает водяным, иногда воздушным.
В одноступенчатых компрессорах делают охлаждение цилиндров компрессора, в многоступенчатых, кроме того, охлаждают газ в промежуточных холодильниках.
В цилиндрах удается отвести небольшое количество тепла; главным образом здесь отводится тепло, выделенное при трении в поршневых кольцах и сальнике. Здесь основная цель охлаждения - снижение температуры стенок цилиндра с тем, чтобы улучшить условия смазки. Основное количество тепла отнимается у газа в промежуточных холодильниках.
Часто после компрессора устанавливают конечные холодильники. Эти холодильники на процесс сжатия не влияют, и их предусматривают, исходя из требований техники безопасности и технологических нужд - для охлаждения газа и отделения от него влаги и масла. Расход воды, необходимый для этих холодильников, мы в дальнейшем не учитываем.
Вода, поступающая в холодильник, может идти по проточной системе при достаточном ее количестве или по замкнутой. В последнем случае воду, нагретую в холодильнике, необходимо охлаждать. На рис. 3.7 показаны системы охлаждения проточная (а) и циркуляционная (б) с брызгальным бассейном. Вода подается для охлаждения цилиндров первой и второй ступеней компрессора (К) и в холодильник (X). Нагретая вода направляется в сборный бассейн. При циркуляционной системе вода нагнетается насосом (Н) к местам охлаждения, а в брызгальном бассейне в систему разбрызгивания. Капли и струи воды охлаждаются воздухом, и охлажденная вода собирается во втором бассейне.
Охлаждение воды разбрызгиванием сопровождается большим уносом воды и для своего устройства требует больших площадей.

Рис. 3.7. Проточная (а) и циркуляционная (6) системы подачи воды для охлаждения компрессора
Поэтому в некоторых случаях для охлаждения применяются градирни - деревянные башни с решетчатыми перекрытиями. Вода поступает в башню сверху и стекает, разбиваясь на капли. Встречный поток воздуха охлаждает воду.
Открытые системы охлаждения воды приводят к значительному испарению воды, повышению концентрации солей и отложению их на стенках трубопроводов. В закрытой системе циркуляции воды этого недостатка нет.
Принцип расчета системы охлаждения
Детали компрессора и сжимаемый газ охлаждаются водой или воздухом. Основным охлаждаемым узлом в компрессоре является цилиндр. Здесь отводится теплота, получаемая в результате сжатия газа, от трения поршневых колец о поверхность цилиндра и штока в сальнике. Газ охлаждается в охладителях, расположенных между ступенями компрессора.
Количество теплоты Q1, отводимой от сжатого газа в единицу времени в межступенчатом охладителе,
Q1 = G · CP · (T2 — Т1), (3.22)
где G - массовая подача ступени компрессора;
СP
- массовая теплоемкость газа при постоянном
давлении;
Т1 - температура газа на выходе из цилиндра
после сжатия;
Т2 - температура газа на входе в следующую
ступень после охладителя.
Количество теплоты Q2, отводимой от цилиндра компрессора в единицу времени, обычно принимается равным 0,7 от мощности, затрачиваемой на механические потери Nм1:
Q2 = 0,7 · Nм1. (3.23)
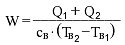
Количество воды W, необходимое для отвода теплоты Q1 + Q2 в единицу времени:
(3.24)
где св - удельная теплоемкость воды;
Тв2
- температура воды на выходе из охладителя;
Тв1 -
температура воды на входе в охладитель.
Величину ∆T определяют таким образом, чтобы температура охлаждающей воды не превышала 30...45°С, так как при температуре больше 45°С начинается повышенное выпадение солей, загрязняющих поверхности теплообмена, и чтобы скорость воды была не меньше 1,0...1,5 м/с (иначе будет происходить быстрое заливание поверхностей теплообмена).
Применяются различные типы межступенчатых охладителей - многотрубные, ребристые, змеевиковые, типа «труба в трубе», оросительные и другие. Определение площади поверхности охладительного устройства представляют собой сложную задачу, так как должны быть учтены многие факторы: степень влажности газа, скорость газа, теплопроводность газа в зависимости от его температуры и давления, плотность газа, коэффициент теплообмена в прямой и изогнутой трубе, оребренность труб и т.д.
Необходимая поверхность охлаждения обычно устанавливается по допускаемым скоростям проходных сечений и числа труб в пачке, а затем по количеству теплоты, которое должно быть отобрано, рассчитывается длина трубного пучка. Если длина труб получается неприемлемой, расчет повторяют, изменяя скорости движения газа, диаметр труб и другие параметры охладителя.

