Расчет колонны насосно-компрсссорных труб
Колонну НКТ рассчитывают на прочность при растяжении, на сопротивляемость смятию избыточным наружным давлением, на сопротивляемость разрыву избыточным внутренним давлением.
Методика расчета свободно подвешенных колонн НКТ и при наличии пакера несколько различны.
Предельные осевые растягивающие нагрузки Рстр (Н), при которых в резьбовом соединении гладких труб напряжения достигают предела текучести, определяют по формуле Яковлева-Шумилова. Предельное растягивающее усилие Рт (Н), при котором в теле труб с высаженными наружу концами (НКБ) возникает напряжение, равное пределу текучести, находят из выражения
Рт=πDδσт (20.12)
Допустимая растягивающая нагрузка [Р]р, действующая на верхнюю трубу каждой секции (ступени) должна составлять: для труб с гладкими концами и труб НКМ
[Р]р≤Рстр/k1 (20.13)
для труб с высаженными наружу концами и труб НКБ
[Р]р≤Рт/k1 (20.14)
где k1 - нормативный коэффициент запаса прочности (КЗП) для вертикальных скважин k1 =1,3.
В искривленных скважинах КЗП определяют по формуле
(20.15)
где k1 - нормативный КЗП, k1 =1,3; С0 - коэффициент, учитывающий прочностные характеристики материала труб.
С0=ED/(4·573σт); (20.16)
iθ - интенсивность искривления, градус/10 м; Е - модуль упругости, Па, E=2,1·1011 Па.
При испытании колонны на герметичность или установке гидравлического пакера осевую растягивающую нагрузку Рр (Н) в верхней части произвольной n-й секции колонны НКТ находят из выражения
(20.17)
При извлечении пакера
(20.18)
В формулах (20.17) и (20.18) i - порядковый номер секции; n -число секций; qi - масса 1 м трубы i-й секции, кг; Sв - площадь проходного канала трубы, м2; ри.в - внутреннее избыточное давление, Па; ΔР -осевая растягивающая нагрузка при извлечении пакера, Н.
Осевая сжимающая нагрузка при установке механического или гидромеханического пакеров
Рсж=Рраз (20.19)
где Рраз - разгрузка части веса труб на пакер, Н.
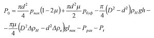
Осевую нагрузку на колонну с пакером под влиянием давлений, собственного веса труб и температуры жидкости в скважине в процессе эксплуатации рассчитывают по формулам:
(20.20)
(20.21)
где P0 - дополнительная рвастягивающая (сжимающая) нагрузка, Н; рпак - давление рабочее на пакере, Па; μ=0,3 - коэффициент Пуассона;
Δρн=ρн-ρ'н; Δρв-ρ'в
ρ'н и ρ'в - плотность жидкости снаружи и внутри колонны НКТ после ее спуска в скважину, кг/м3; lпак - глубина установки пакера от устья скважины, м; Pt - осевая нагрузка от температурных изменений, Н,
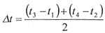
Pt=aESΔt;
а - коэффициент линейного расширения, для стали а=12·10-6; Δt - средняя температура жидкости в скважине, °С (при нагреве принимается со знаком «+»; при охлаждении - со знаком «-»);

t1, t2 — температура в скважине соответственно на устье и на глубине lпак до начала эксплуатации, °С; t3, t4 - температура в скважине соответственно на устье и на глубине lпак во время эксплуатации, °С.
При эксплуатации скважин на колонну НКТ действуют дополнительные нагрузки, вызванные внутренним и наружным давлениями. Схема конструкции двух- и однорядных лифтовых колонн с пакером и без пакера показаны на рис. 20.1 и рис. 20.2 соответственно.

Рис.20.1. Конструкции двухрядных лифтовых колонн (подъемников) с пакером (а), и без пакера (б), а также кольцевая (в) и центральная (г) системы: 1,2 - номера рядов

Рис.20.2. Конструкция однорядных лифтовых колонн без пакера (а), с пакером (б), а также кольцевая (в) и центральная (г) системы
Наружное избыточное давление (Па) определяют из выражения
Ри.нz=p0+(ρY-ρB)zg (20.22)
где р0 - давление на устье при освоении. Па; ρH=p0 - плотность жидкости, закачиваемой в скважину при освоении, кг/м.
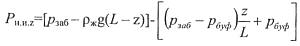
На однорядную колонну НКТ без пакера в процессе эксплуатации действует наружное избыточное давление (Па), вычисляемое по формуле
(20.23)
где рзаб - забойное давление. Па; ρж = ρв=ρн - плотность жидкости в скважине, кг/м3; pбуф - буферное устьевое давление, Па.
При расчете колонны НКТ, на которую действует внутреннее избыточное или наружное избыточное давление, верхнюю трубу каждой секции проверяют на прочность.
Внутреннее избыточное давление рт (Па), при котором наибольшее напряжение в трубах достигает предела текучести, определяют по формуле Барлоу
ркр=2δσт/dн
Внутреннее избыточное давление не должно превышать допускаемого значения
ри.в≤рт/k2 (20.24)
где k2=1,32 - нормативный КЗП.
Наружное избыточное давление pкр (Па), при котором наибольшие напряжения в трубах достигают предела текучести, определяют по формуле Г.М.Саркисова.
ри.н<ркр/k3, (20.25)
где k3=1,15-КЗП.
При совместном действии растягивающей осевой нагрузки и наружного давления на свободно подвешенную колонну условие прочности трубы описывается выражением
(20.26)
где Рр - растягивающая нагрузка, Н; ри.нz - наружное избыточное давление. Па; D - наружный диаметр трубы, мм; S - площадь поперечного сечения трубы, мм ; k1=l,3.
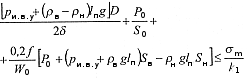
В процессе установки пакера (механического или гидромеханического) нижняя часть колонны НКТ находится в изогнутом состоянии. Условие прочности этого участка записывается в следующем виде:
(20.27)
где Pсж - осевая сжимающая нагрузка (разгрузка на пакер),Н; S0 - площадь опасного сечения труб (для гладких труб по основной плоскости), м2; ƒ- зазор между обсадной колонной и колонной НКТ, м; W0 - осевой момент сопротивления опасного сечения труб, м3.
Критическая сжимающая нагрузка (Н), при которой колонна НКТ подвергается продольному изгибу, определяется по формуле
(20.28)
где EI - жесткость трубы, Н·м2; q - масса 1 м труб в воздухе, кг/м.
Нижняя часть колонны НКТ над пакером может принять изогнутую форму не только при установке пакера, но и в процессе эксплуатации скважины под действием осевых сжимающих нагрузок, связанных с влиянием давлений и температуры. Условие прочности при этом записывается в следующем виде:
(20.29)
где Р0 - определяют по формуле(20.21), Н.
Для каждой секции колонны НКТ надо определять КЗП по следующим формулам: для гладких труб и труб типа НКМ
k1(п)=Рстр(п)/Рр(п) (20.30)
для труб с высаженными наружу концами и типа НКБ
k1(п)=Рт(п)/Рр(п) (20.31)
где Рр(п) - определяют по формуле (20.20).
КЗП можно вычислить также по формуле:
(20.32)
Длину первой секции (м) свободно подвешенной колонны (рис.20.2, а, в, г) рассчитывают по формуле.
l1=Pсир/k1q1g (20.33)
где Рстр - страгивающая нагрузка для труб с гладкими концами или растягивающая нагрузка Рт для труб с высаженными наружу концами и труб типов НКМ и НКБ, Н; k1 - КЗП на растяжение; q1 - теоретическая масса 1м колонны НКТ, кг/м.
Длина второй и последующих секций находят по формуле
(20.34)
где Pстр(п) - страгивающая нагрузка для труб и-й секции, Н; l1 и qi - длина (м) и масса (кг/м) труб i-й секции.
Можно также воспользоваться выражением
(20.35)
Длину первой секции колонны, устанавливаемой с гидравлическим (гидромеханическим) пакером, или колонны, подвергаемой испытанию на герметичность, определяют из выражения
(20.36)
Длину второй и последующей секции ( n≥2).
(20.37)
где Рдоп - дополнительная нагрузка, действующая на колонну от избыточного устьевого давления или от напряжения колонны при освобождении пакера, Н.
В расчетах принимается большее из значений РД, полученных по формулам
РД=Sвpпак; РД=SвРи.в; Рдоп=∆Р, (20.38)
где Sв - площадь проходного канала труб, м2; рпак - рабочее давление пакера. Па; ∆Р - усилие натяжения колонны при освобождении пакера, Н.

