Определение объема котлована для инженерных сооружений
Котлован необходим для сооружения фундамента и подземной части инженерного сооружения. В проекте устанавливают размеры и расположение сооружения, ширину а и длину b дна котлована (а и b несколько больше соответствующих размеров сооружения) (рис. 1.37). Крутизну откоса котлована, дамб, траншей и т. п. определяют уклоном i, равным отношению превышения к оризонтальному проложению, т. е. i = h/d = = tgv. Кроме того, для этой цели опользуют коэффициент откоса т = d/h = l/i =ctgv, v — угол наклона.
Объём котлована для небольших сооружений определяют по приближенной формуле
(1.28)
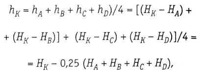
где Рк = ab — площадь дна котлована, Р'к = a'b' на уровне физческой поверхности, hK — средняя глубина котлована, определяемая по формуле

где НK — отметка для котлована; НА, НВ, НС, НD - высоты углов котлована на уров физической поверхности земли.
Для больших котлованов и при повышенной точности определения объема котлован делят на части, каждая и которых близка к геометрической фигуре, определяют объемы этих фигур сумма полученных объемов равна объему котлована. Из-за значительных не ровностей земной поверхности на участке работ иногда возникает необходу мость строить вертикальные сечения котлована и использовать их для боле точного определения объема котлована.

Рис. 1.37. Определение объема котлована

