animateMainmenucolor
Главная / Инженерно-геодезические изыскания / Нивелиры / Исследования и поверки нивелиров с уровням

Исследования и поверки нивелиров с уровнями



Поверка и юстировка главного условия

Проекции визирной оси трубы и оси цилиндрического уровня на горизонтальную и отвесную плоскости должны быть параллельны. Первую часть поверки выполняют при получении новых нивелиров и перед началом полевых работ. Нивелир устанавливают в 50 м от закрепленной рейки так, чтобы линия, соединяющая оси подъемных винтов 1 и 2, была перпендикулярна визирной оси, а ось винта 3 располагалась в отвесной плоскости. Ось вращения нивелира тщательно приводят в отвесное положение, пузырек уровня устанавливают в нуль-пункт, делают отсчет по рейке.

Плавным вращением винтов 1 и 2 на 2-3 полных оборота в разные стороны дают нивелиру боковые наклоны в одну, затем в другую сторону, при этом отсчет по рейке не должен измениться. Если в обоих случаях пузырек уровня остается в нуль-пункте или перемещается в одну сторону, то уровень установлен правильно, если же в разные стороны более чем на 1-2 деления уровня, то положение цилиндрического уровня исправляют его боковыми исправительными винтами.

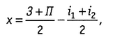
Вторую часть поверки выполняют двойным нивелированием. На расстоянии 48 м выбирают на ровной местности две устойчивые по высоте точки, на которые устанавливают по уровню и закрепляют рейки 1 и 2, чтобы при выполнении поверки они оставались неподвижными. Нивелир устанавливают примерно в створе реек на расстоянии 7 м от рейки 1, приводят пузырек цилиндрического уровня в нуль-пункт, наводят на рейку 1 и берут отсчеты 301 и 3Д1 по обеим шкалам, затем наводят на рейку 2 и берут отсчеты П01 и ПД1 (рис. 1.102).

Рис. 1.102. Поверка главного условия нивелира

На ст. 2, расположенной в створе реек на расстоянии 7 м от рейки 2, берут отсчеты 302 и 3Д2, затем П02 и ПД2. Наблюдения на обеих станциях составляют один прием. Определяют превышения

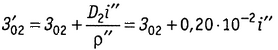
Если в первом приеме i" < 10", то выполняют еще два приема. За окончательное принимают среднее из трех значений i". Если i" > 10", то его уменьшают, в зависимости от конструкции нивелира, исправительными винтами уровня или исправительными винтами сетки нитей, или поворотом оптического клина перед объективом трубы. В первом случае элевационным винтом трубы устанавливают отсчет по задней, дальней рейке и исправительными винтами уровня устанавливают его в нуль-пункт. Во втором и третьем случаях перекрестие сетки нитей устанавливают на отсчет 3'02 исправительными винтами сетки или поворотом оптического клина, при этом пузырек уровня должен находиться в нуль-пункте. После исправления i" окончательное его значение определяют тремя приемами.

Для точных и технических нивелиров поверка главного условия может быть выполнена двойным нивелированием вперед. На ровной местности на расстоянии 40-50 м в точках A и В забивают колышки. Нивелир устанавливают окуляром над точкой А, а на точку В ставят рейку (рис. 1.103, а).

Рис. 1.103. Схема поверки главного геометрического условия нивелира

Приводят пузырек цилиндрического уровня в нуль-пункт (в контактном уровне совмещают концы пузырька уровня), измеряют высоту прибора i1 — расстояние по отвесной линии от колышка до середины окуляра. Делают по рейке отсчет П по средней нити вблизи перекрестия нитей. На рисунке 1.103, а имеем

h = il-(П-x).

Меняют нивелир и рейку местами и выполняют те же действия. Превышение (рис. 1.103, 6)

h = 3 -х — i2.

Приравнивая правые части полученных формул в результате находим

т.е. величина ошибки х равна разности между полусуммой отсчетов по рейхам и полусуммой высот прибора. Если х меньше установленной инструкцией величины δ (обычно 4 мм), то условие считается выполненным. Если х ≥ δ, то выполняют юстировку, для чего вращением элевационного винта на рейке в точке А устанавливают отсчет 30 =3 - х. Пузырек уровня сойдет с нуль-пункта, и его приводят в нуль-пункт (восстанавливают контакт концов пузырька уровня) исправительными винтами цилиндрического уровня. Для контроля поверку повторяют при других горизонтах прибора.


термины:
А Б В Г Д Е Ё Ж З И К Л М Н О П Р С Т У Ф Х Ц Ч Ш Щ Э Я






Буровые установки (агрегаты, станки) шпиндельного типа

Глубина бурения, м
100 м
300 м
500 м
800 м
2000 м

Буровые установки с подвижным вращателем

Глубина бурения, м
до 15 м.
до 25-50 м.
до 100 м.
до 300 м.
до500 м.
до1000 м.
до2000 м.

Буровые установки роторного типа для бурения скважин

Глубина бурения, м
до 25-50 м.
до 200 м.
600-800 м.
Глубина бурения 2000-3000 м.

Самоходные буровые установки для бурения скважин

Установка самоходная подъемная Азинмаш-37А1
Установка для устройства буронабивных свай СО-2
Агрегат для заглубления винтовых анкеров АЗА-3
Cамоходный буровой агрегат БА 15.06, 1БА15н.01, 1БА 15к.01
УРБ-3А3.13 самоходные и передвижные буровые установки
БА-63АВ Буровой агрегат на шасси КАМАЗ
БТС-150 станок буровой тракторный
Установка бурильно-крановая гидрофицированная типа УБКГ-ТА

Буровые установки и оборудование для глубокого бурения

Глубина бурения, м
Глубина бурениядо 3200м
Глубина бурения до 4000 м
Глубина бурения до 5000м
Глубина бурения 6000- 8000 м